Index of Papers
Contents of this paper
The mathematical formulation of Whitehead's theory is, as in Einstein's case, supplied with tensor-analysis. But it is to the physical structure of gravitational field and not to the geometrical metric of space-time, that the Riemanian theory of differentiable manifold with variable curvature is applied in Whitehead's theory Adopting a different interpretation from Einstein's theory which identifies the gravitational and metric fields, Whitehead introduces the concept of impetus as a physical quantity in order to determine the path of light or of a moving particle in the physical field. There are two kinds of impetus: the potential mass impetus and the potential electro-magnetic impetus.
Writing the potential mass impetus as
and the potential electro-magnetic impetus as dF, we can integrate
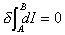
the total impetus realised along the time-like world-line AB as
follows:
where M is the proper mass as an "adjective" uniformly qualifying the world-line AB,
E is the charge of the mass, c is the velocity of light.12
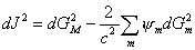
The two kinds of impetus can be expressed in covariant tensors respectively with first and with second orders, as follows:
The potential mass impetus is split up into
the difference of two symmetric covariant tensors,
and
: the former represents the inertial aspect
of motion, and the latter the gravitational aspect of the physical
field. Thus we get
In order to derive the equations of motion Whitehead applies the variational principle
to the above impetus
and gets a set of differential equations of the Euler-Lagrange type:
The procedure is mathematically similar to Einstein's use of the variational principle but the meanings of mathematical formula are different: Whitehead separates the physical (contingent) component from the geometrical (uniform) one in what Einstein interprets as a space-time interval. When the effects of gravitation and electro-magnetic fields are negligible, we can derive from Whitehead's equations, as from Einstein's, the law of motion
which is nothing but the law of inertia in the special theory of relativity. In the presence of electro-magnetic fields, we get the equations
If we identify
with
the electric force and
with the magnetic
force, the above formulas again agree with those of special relativity.
To sum up, as far as the mathematical syntax is concerned, Whitehead's equation of motion can be regarded as a generalization of the special theory of relativity. It is in the theory of gravitation that the difference between Whitehead and Einstein appears sharply on the level of mathematical formulation, to say nothing of physical interpretation. Whitehead treats the gravitational field on a par with other physical fields, as independent of the metric structure of Mincowski's space-time. Therefore, it is required in Whitehead's theory that the system of n mass particles with gravitational interactions should be mathematically similar to the system of n charges moving under their mutual electro-magnetic interaction. Whitehead's theory of gravitation is sometimes referred as "a theory involving action at a distance with the critical velocity c". This characterization of Whitehead's theory is due to Synge, who located Whitehead's theory between the two extremes of Newtonian theory on the one hand and the general theory of relativity on the other. Such a middle-way character comes from the peculiar definition of the physical field in Whitehead's theory. The physical field of an event P modified with mass m is defined as the domain of P's causal future, i.e. the set of world-lines along which the physical signals propagate from P with the critical velocity c. The distance between P and any event X which is under the causal influence of this physical field vanishes into zero in the Mincowski metric. Thus the causal efficacy may be characterized by an action at a distance propagating with c.
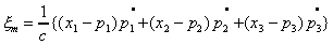
To recast Newton's formula of gravitational potential into a Lorentz-invariant form, Whitehead uses the formula
where
is the gravitational
constant, and w is a Lorentz-invariant quantity which play the
role of distance from P to the time-like worldline uniformly qualified
by the mass m. The Lorentz-invariant w can be expressed as the
inner product of vector PX and the tangent vector of the world
line as follows:
Using the spatial distance
and the term
depending on the velocity
of the mass, we may also rewrite the above formula as follows:
where
and
If the mass is at rest, then w becomes identical with the spatial distance r, and we get the Newtonian formula of gravitational potential. Thus Whitehead's theory can give Newton's formula under the special condition. Whitehead's law of gravitation then takes a simple and elegant form as follows:
where dJ is the potential mass impetus of an event X, dGM is the invariant differential of the world-line which passes through X modified with the proper mass M, and dGm is that with proper mass m which exerts causal influence on X.13
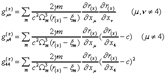
If we want to find the components of the tensor gu" which represent the gravitational field, we can get them after necessary calculations as follows:14
The above equations should not be confused with Synge's reformulation of Whitehead's theory:

As this formula is easy to handle, physicists
usually mentions it as if it were Whitehead's own. But we must
notice that Synge treats the gravitational field on a par with
the metric field in Einstein's manner, and the notation
has a different meaning from Whitehead's
original formula.